全国2009年10月高等教育自学考试数据结构试题
来源:云南自考网 发表时间:2018-06-19 阅读量:
《自考视频课程》名师讲解,轻松易懂,助您轻松上岸!低至199元/科!
全国2009年10月高等教育自学考试数据结构试题
课程代码:02331
一、单项选择题(本大题共15小题,每小题2分,共30分)
在每小题列出的四个备选项中只有一个是符合题目要求的,请将其代码填写在题后的括号内.错选、多选或未选均无分.
1.按值可否分解,数据类型通常可分为两类,它们是( )
A.静态类型和动态类型
B.原子类型和表类型
C.原子类型和结构类型
D.数组类型和指针类型
2.对于三个函数f(n)=2008n3+8n2+96000,g(n)=8n3+8n+2008和h(n)=8888nlogn+3n2,下列陈述中不成立的是( )
A.f(n)是0(g(n))
B.g(n)是0(f(n))
C.h(n)是0(nlogn)
D.h(n)是0(n2)
3.指针p、q和r依次指向某循环链表中三个相邻的结点,交换结点*q和结点*r在表中次序的程序段是( )
A.p->next=r; q->next=r->next; r->next=q;
B.p->next=r; r->next=q; q->next=r->next;
C.r->next=q; q->next=r->next; p->next=r;
D.r->next=q; p->next=r; q->next=r->next;
4.若进栈次序为a,b,c,且进栈和出栈可以穿插进行,则可能出现的含3个元素的出栈序列个数是( )
A.3
B.5
C.6
D.7
5.假设以数组A[n]存放循环队列的元素,其头指针front指向队头元素的前一个位置、尾指针rear指向队尾元素所在的存储位置,则在少用一个元素空间的前提下,队列满的判定条件为( )
A.rear= =front
B.(front+1)%n= =rear
C.rear+1= =front
D.(rear+1)%n= =front
6.串的操作函数str定义为:
int str(char*s) {
char *p=s;
while (*p!=′′)p++;
return p-s;
}
则str(″abcde″)的返回值是( )
A.3
B.4
C.5
D.6
7.二维数组A[10][6]采用行优先的存储方法,若每个元素占4个存储单元,已知元素A[3][4]的存储地址为1000,则元素A[4][3]的存储地址为( )
A.1020
B.1024
C.1036
D.1240
8.对广义表L= (a,())执行操作tail(L)的结果是( )
A.()
B.(())
C.a
D.(a)
9.已知二叉树的中序序列和后序序列均为ABCDEF,则该二叉树的先序序列为( )
A.FEDCBA
B.ABCDEF
C.FDECBA
D.FBDCEA
10.已知森林F={T1,T2,T3,T4,T5},各棵树Ti(i=1,2,3,4,5)中所含结点的个数分别为7,3,5,l,2,则与F对应的二叉树的右子树中的结点个数为( )
A.2
B.3
C.8
D.11
11.若非连通无向图G含有21条边,则G的顶点个数至少为( )

A.7
B.8
C.21
D.22
12.如图所示的有向图的拓扑序列是( )
A.c,d,b,a,e
B.c,a,d,b,e
C.c,d,e,a,b
D.c,a,b,d,e
13.对关键字序列(6,1,4,3,7,2,8,5)进行快速排序时,以第1个元素为基准的一次划分的结果为( )
A.(5,1,4,3,6,2,8,7)
B.(5,1,4,3,2,6,7,8)
C.(5,1,4,3,2,6,8,7)
D.(8,7,6,5,4,3,2,1)
14.分块查找方法将表分为多块,并要求( )
A.块内有序
B.块间有序
C.各块等长
D.链式存储
15.便于进行布尔查询的文件组织方式是( )
A.顺序文件
B.索引文件
C.散列文件
D.多关键字文件
二、填空题(本大题共10小题,每小题2分,若有两个空格,每个空格1分,共20分)
请在每个空格中填上正确答案.错填、不填均无分.
16.数据的链式存储结构的特点是借助________表示数据元素之间的逻辑关系.
17.如果需要对线性表频繁进行________或________操作,则不宜采用顺序存储结构.
18.如图所示,可以利用一个向量空间同时实现两个类型相同的栈.其中栈1为空的条件是top1=0,栈2为空的条件是top2=n-1,则"栈满"的判定条件是________.

19.静态存储分配的顺序串在进行插入、置换和________等操作时可能发生越界.
20.广义表L=(a,(b,( )))的深度为________.
21.任意一棵完全二叉树中,度为1的结点数最多为________.
22.求最小生成树的克鲁斯卡尔(Kruskal)算法耗用的时间与图中________的数目正相关.
23.在5阶B-树中,每个结点至多含4个关键字,除根结点之外,其他结点至少含________个关键字.
24.若序列中关键字相同的记录在排序前后的相对次序不变,则称该排序算法是________的.
25.常用的索引顺序文件是________文件和________文件.
三、解答题(本大题共4小题,每小题5分,共20分)
26.如图所示,在n×n矩阵A中,所有下标值满足关系式i+j<n+l的元素aij的值均为0,现将A中其它元素按行优先顺序依次存储到长度为n(n+1)/2的一维数组sa中,其中元素a1,n存储在sa[0].
(1)设n=10,元素a4,9存储在sa[p],写出下标p的值;
(2)设元素ai,j存储在sa[k]中,写出由i,j和n计算k的一般公式.

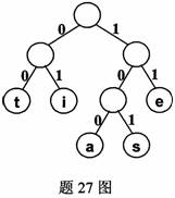
27.由字符集{s,t,a,e,I}及其在电文中出现的频度构建的哈夫曼树如图所示.已知某段电文的哈夫曼编码为111000010100,请根据该哈夫曼树进行译码,写出原来的电文.

28.已知无向图G的邻接表如图所示,
(1)画出该无向图;
(2)画出该图的广度优先生成森林.

29.对序列(48,37,63,96,22,31,50,55,11)进行升序的堆排序,写出构建的初始(大根)堆及前两趟重建堆之后的序列状态.
初始堆:
第1趟:
第2趟:
四、算法阅读题(本大题共4小题,每小题5分,共20分)
30.阅读下列算法,并回答问题:

(1)无向图G如图所示,写出算法
f30(&G)的返回值;
(2)简述算法f30的功能.
#define MaxNum 20
int visited[MaxNum];
void DFS(Graph *g,int i);
/*从顶点vi出发进行深度优先搜索,访问顶点vj时置visited[j]为1*/
int f30(Graph *g)
{ int i,k;
for (i=0; i<g->n; i++)/*g->n为图g的顶点数目*/
visited[i]=0;
for (i=k=0; i<g->n; i++)
if (visited[i]= =0)
{ k++;
DFS(g,i);
}
return k;
}
31.假设学生成绩按学号增序存储在带头结点的单链表中,类型定义如下:
typedef struct Node {
int id; /*学号*/
int score; /*成绩*/
struct Node *next;
} LNode, *LinkList;
阅读算法f31,并回答问题:
(1)设结点结构为
云南自考网声明:
1、由于各方面情况的调整与变化,本网提供的考试信息仅供参考,考试信息以省考试院及院校官方发布的信息为准。
2、本网信息来源为其他媒体的稿件转载,免费转载出于非商业性学习目的,版权归原作者所有,如有内容与版权问题等请与本站联系。联系邮箱:952056566@qq.com
云南自考便捷服务
- 微信交流群
- 微信公众号

微信扫一扫加入考生微信群
①学习交流、②考试提醒、③自考解答
④自考资料、⑤新闻通知、⑥备考指导

云南自考网微信公众号
随时获取云南省自考政策、通知、公告
以及各类学习微信公众号
- 热点文章
- 常见问题
